-
-
在選購機米螺絲是需要注意什么?【法士威螺絲知識分享】
法士威小編告訴你選購機米螺絲的時候需要注意哪些事項:
2019-09-02
1、購買機米螺絲的時候需要大小配套,簡單說就是一個對一個,因為工藝...
- 關于塑料螺絲 ,你真的了解嗎 2023-07-14
- 緊固件基礎知識FAQ(四)| 你一定要了解的8個緊固件基本常識 2023-07-03
- 法士威2023年第二季度工作總結Party圓滿落下帷幕 2023-07-01
- 法士威2023第一季度工作總結 part,圓滿收官 2023-04-02
深圳市法士威精密零件有限公司
文章出處:螺絲百科 網責任編輯: 法士威精密零件 閱讀量: 發表時間:2023-01-03
緊固件成形工藝中,冷鐓(擠)技術是一種主要加工工藝。冷鐓(擠)屬于金屬壓力加工范疇。在生產中,在常溫狀態下,對金屬施加外力,使金屬在預定的模具內成形,這種方法通常叫冷鐓。
今天我們來全面了解一下緊固件冷鐓成形工藝。
任何緊固件的成形,不單是冷鐓一種變形方式能實現的,它在冷鐓過程中,除了鐓粗變形外,還伴隨有正、反擠壓、復合擠壓、沖切、輾壓等多種變形方式。因此,生產中對冷鐓的叫法,只是一種習慣性叫法,更確切地說,應該叫做冷鐓(擠)。
冷鐓(擠)的優點很多,適用于緊固件的大批量生產。主要優點概括為以下幾個方面:
a.鋼材利用率高。
冷鐓(擠)是一種少、無切削加工方法,如加工桿類的六角頭螺栓、圓柱頭內六角螺釘,采用切削加工方法,鋼材利用率僅在25%~35%,而用冷鐓(擠)方法,它的利用率可高達85%~95%,僅是料頭、料尾及切六角頭邊的一些工藝消耗。
b.生產率高。
與通用的切削加工相比,冷鐓(擠)成型效率要高出幾十倍以上。
c.機械性能好。
冷鐓(擠)方法加工的零件,由于金屬纖維未被切斷,因此強度要比切削加工的優越得多。
d.適于自動化生產。
適宜冷鐓(擠)方法生產的緊固件(也含一部分異形件),基本屬于對稱性零件,適合采用高速自動冷鐓機生產,也是大批量生產的主要方法。
總之,冷鐓(擠)方法加工緊固件、異形件是一種綜合經濟效益相當高的加工方法,是緊固件行業中普遍采用的加工方法,也是一種在國內、外廣為利用、很有發展的先進加工方法。
因此,如何充分利用、提高金屬的塑性、掌握金屬塑性變形的機理、研制出科學合理的緊固件冷鐓(擠)加工工藝,是研究的目的和宗旨所在。
一、金屬變形的基本概念
變 形
變形是指金屬受力(外力、內力)時,在保持自己完整性的條件下,組成本身的細小微粒的相對位移的總和。
1 變形的種類
a.彈性變形。金屬受外力作用發生了變形,當外力去掉后,恢復原來形狀和尺寸的能力,這種變形稱為彈性變形。彈性的好壞是通過彈性極限、比例極限來衡量的。
b.塑性變形金屬在外力作用下,產生永久變形(指去掉外力后不能恢復原狀的變形),但金屬本身的完整性又不會被破壞的變形,稱為塑性變形。塑性的好壞通過伸長率、斷面收縮率、屈服極限來表示。
2 塑性的評定方法
塑性的好壞通過伸長率、斷面收縮率、屈服極限來表示。為了評定金屬塑性的好壞,常用一種數值上的指標,稱為塑性指標。塑性指標是以鋼材試樣開始破壞瞬間的塑性變形量來表示,生產實際中,通常用以下幾種方法:
(1)拉伸試驗。拉伸試驗用伸長率δ和斷面收縮率ψ來表示。表示鋼材試樣在單向拉伸時的塑性變形能力,是金屬材料標準中常用的塑性指標。δ和ψ的數值由以下公式確定:

式中:L0、Lk——拉伸試樣原始標距、破壞后標距的長度。F0、Fk——拉伸試樣原始、破斷處的截面積。
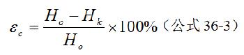
(2)鐓粗試驗又稱壓扁試驗。它是將試樣制成高度Ho為試樣原始直徑Do的1.5倍的圓柱形,然后在壓力機上進行壓扁,直到試樣表面出現第1條肉眼可觀察到的裂紋為止,這時的壓縮程度εc為塑性指標。其數值按下式可計算出:

式中Ho——圓柱形試樣的原始高度。Hk——試樣在壓扁中,在側表面出現第1條肉眼可見裂紋時的試樣高度。扭轉試驗是以試樣在扭斷機上扭斷時的扭轉角或扭轉圈數來表示的。生產中最常用的是拉伸試驗和鐓粗試驗。不管哪種試驗方法,都是相對于某種特定的受力狀態和變形條件的。由此所得出的塑性指標,只是相對比較而言,僅說明某種金屬在什么樣的變形條件下塑性的好壞。
3 影響金屬塑性及變形抗力主要因素
金屬的塑性及變形抗力的概念:金屬的塑性可理解為在外力作用下,金屬能穩定地改變自己的形狀而質點間的聯系又不被破壞的能力;并將金屬在變形時反作用于施加外力的工模具的力稱為變形抗力。影響金屬塑性及變形抗力的主要因素包括以下幾個方面:
a.金屬組織及化學成分對塑性及變形抗力的影響金屬組織決定于組成金屬的化學成分,其主要元素的晶格類別,雜質的性質、數量及分布情況。組成元素越少,塑性越好。例如純鐵具有很高的塑性。碳在鐵中呈固熔體也具有很好的塑性,而呈化合物,則塑性就降低。如化合物Fe3C實際上是很脆的。一般在鋼中其他元素成分的增加也會降低鋼的塑性。鋼中隨含碳量的增加,則鋼的抗力指標(бb、бp、бs等)均增高,而塑性指標(ε、ψ等)均降低。在冷變形時,鋼中含碳量每增加0.1%,其強度極限бs大約增加6~8kg/mm2。硫在鋼中以硫化鐵、硫化錳存在。硫化鐵具有脆性,硫化錳在壓力加工過程中變成絲狀得到拉長,因而使在與纖維垂直的橫向上的機械指數降低。所以硫在鋼中是有害的雜質,含量愈少愈好。磷在鋼中使變形抗力提高,塑性降低。含磷高于0.1%~0.2%的鋼具有冷脆性。一般鋼的含磷量控制在百分之零點零幾。其他如低熔點雜質在金屬基體的分布狀態對塑性有很大影響。總之,鋼中的化學成分愈復雜,含量愈多,則對鋼的抗力及塑性的影響也就愈大。這正說明某些高合金鋼難于進行冷鐓(壓)加工的原因。
b.變形速度對塑性及變形抗力的影響變形速度是單位時間內的相對位移體積:

不應將變形速度與變形工具的運動速度混為一談,也應將變形速度與變形體中質點的移動速度在概念上區別開來。一般說來,隨著變形速度增加,變形抗力增加,塑性降低。冷變形時,變形速度的影響不如熱變形時顯著,這是由于無硬化消除的過程。但當變形速度特別大時,塑性變形產生的熱(即熱效應)不得失散本身溫度升高會提高塑性、減少變形抗力。
c.應力狀態對塑性及變形抗力的影響在外力作用下,金屬內部產生內力,其單位面積之強度稱之為應力。受力金屬處于應力狀態下。從變形體內分離出一個微小基元正方體,在所取的正方體上,作用有未知大小但已知方向的應力,把這種表示點上主應力個數及其符號的簡圖叫主應力圖。表示金屬受力狀態的主應力圖共有九種,其中四個為三向主應力圖,三個為平面主應力圖,兩個為單向主應力圖,如圖36-1所示。

主應力由拉應力引起的為正號,主應力由壓應力引起的為負號。在金屬壓力加工中,最常遇到的是同號及異號的三向主應力圖。在異號三向主應力圖中,又以具有兩個壓應力和一個拉應力的主應力圖為最普遍。同號的三向壓應力圖中,各方向的壓應力均相等時(б1=б2=б3),并且金屬內部沒有疏松及其它缺陷的條件下,理論上是不可產生塑性變形的,只有彈性變形產生。
不等的三向壓應力圖包括的變形工藝有:體積模鍛、鐓粗、閉式沖孔、正反擠壓、板材及型材軋制等。在生產實際中很少迂到三向拉伸應力圖,僅在拉伸試驗中,當產生縮頸時,在縮頸處的應力線,是三向拉伸的主應力圖,如圖36-2所示。

在鐓粗時,由于摩擦的作用,也呈現出三向壓應力圖,如圖36-3所示。總之,受力金屬的應力狀態中,壓應力有利于塑性的增加,拉應力將降低金屬的塑性。
d.冷變形硬化對金屬塑性及變形抗力的影響金屬經過冷塑性變形,引起金屬的機械性能、物理性能及化學性能的改變。隨著變形程度的增加,所有的強度指標(彈性極限、比例極限、流動極限及強度極限)都有所提高,硬度亦有所提高;塑性指標(伸長率、斷面收縮率及沖擊韌性)則有所降低;電阻增加;抗腐蝕性及導熱性能降低,并改變了金屬的磁性等等,在塑性變形中,金屬的這些性質變化的總和稱作冷變形硬化,簡稱硬化。
e.附加應力及殘余應力的影響在變形金屬中應力分布是不均勻的,在應力分布較多的地方希望獲得較大的變形,在應力分布較少的地方希望獲得較小的變形。由于承受變形金屬本身的完整性,就在其內部產生相互平衡的內力,即所謂附加應力。當變形終止后,這些彼此平衡的應力便存在變形體內部,構成殘余應力,影響以后變形工序中變形金屬的塑性和變形抗力。
4 提高金屬塑性及降低變形抗力的措施
針對影響金屬塑性及變形抗力的主要因素,結合生產實際,采取有效的工藝措施,是完全可以提高金屬塑性及降低其變形抗力的,生產中,常采取的工藝措施有:
a.坯料狀況冷鐓用原材料,除了要求化學成份、組織均勻,不要有金屬夾雜等以外,一般要對原材料進行軟化退火處理,目的在于消除金屬軋制時殘留在金屬內部的殘余應力,使組織均勻,降低硬度,要求冷鐓前金屬的硬度HRB≤80。對中碳鋼,合金鋼一般采取球化退火,目的是除消除應力、使組織均勻外,還可改善金屬的冷變形塑性。
b.提高模具光滑度及改善金屬表面潤滑條件這兩項措施都是為了降低變形體與模具工作表面的摩擦力,盡可能降低變形中由于摩擦而產生的拉應力。
c.選擇合適的變形規范在冷鐓(擠)工藝中,一次就鐓擊成形的產品很少,一般都要經過兩次及兩次以上的鐓擊。因此必須做到每次變形量的合理分配,這不僅有利于充分利用金屬的冷變形塑性,也有利于金屬的成形。如生產中采用冷鐓、冷擠復合成形、螺栓的兩次縮徑、螺母的大料小變形等。
二、金屬塑性變形的基本規律
1 最小阻力定律
金屬在變形中,變形體的質點有向各方向移動的可能,變形體質點的移動是沿其最小阻力方向移動,稱為最小阻力定律。在六角頭螺栓多工位冷鐓中,第二工位精鐓時,金屬向上、下模開口處流動并形成飛邊是最小阻力定律起作用的體現。圖36-4表明坯件在模具中鐓鍛時,它在充滿上、下模腔的同時還向上、下模構成的間隙向四周流,只有當往飛邊流動的阻力大于在模腔其它部分的阻力時,金屬充滿模腔才有可能。在上模向下運動中,飛邊上金屬流動阻力隨飛邊厚度的減小而增加,這時才能保證最后充滿上、下模腔。

2 體積不變定律
金屬塑性變形中,其密度改變極為微小,可以忽略。塑性變形的物體之體積保持不變,金屬坯件在塑性變形以前的體積等于變形后的體積。體積不變定律是根據產品形狀尺寸、計算出體積,據此再確定所需坯件的具體尺寸。最小阻力定律則是金屬變形次數如何確定,每次變形量如何分配、工模具結構形狀確定的設計最主要的依據。
3 變形中影響金屬流動的主要因素
a.摩擦的影響在變形中模具和坯件間的接觸面上不可避免的有摩擦力存在,由于摩擦力的作用,改變了金屬流動的特征。如圖36-5所示,在平板間鐓粗矩形壞料時,由于摩擦力的作用,使各向阻力不同,變形中,斷面不能繼續保持矩形。按最小阻力定律,它會逐漸趨于圓形。若無摩擦力作用,則坯件處于理想的均勻變形狀態,變形前后在幾何形狀上仍然相似。

當無摩擦時,環形件在高度上被壓縮,根據體積不變條件,不論是外層還是內層,金屬的直徑都有所增加,即所有金屬都沿徑向輻射狀向外流動。由于有摩擦的存在,流動受到阻礙。
a.越接近內層金屬向外流動的阻力越大,比向內流動時還要大,因而改變了流動的方向,如圖所示,在環形件中出現了流動的分界面(dN)。
b.工模具形狀的影響由于工模具形狀不同,所施加給坯件的作用力,以及模具與坯件接觸的摩擦力也不一樣,引致金屬在各方向流動阻力的差異,從而金屬在各方向流動體積的分配也有所差異。
c.金屬本身性質不均的影響金屬本身的性質不均,反映出金屬成份的不均、組織不均、以及在變形中內部溫度的不均等。
這些性質的不均勻性,在金屬內部出現互相平衡的附加應力,由于內力的存在,使金屬在各自流動的阻力有所差異,變形首先發生在阻力最小的部分。
法士威小編告訴你選購機米螺絲的時候需要注意哪些事項:
1、購買機米螺絲的時候需要大小配套,簡單說就是一個對一個,因為工藝...